🔬 核心优势:
√「温、压双耦合控制系统」突破行业痛点
√ 双重精准控温:±0.05℃精准温控,消除温度漂移
√ 主动压力控制:0.001MPa超微压力调节,攻克液柱热胀冷缩难题
🚀 创新突破:
- 采用ADSA®-RealDrop®智能算法:基于第一性原理有量纲计算
💡 功能升级:
► TFOVT M全景视野与显微视野动态追踪系统
► 粘附力测试功能:贴合油田化学驱替
智能锁滴:连续旋转运动蜗轮蜗杆联动技术实现毫秒级液滴定位与锁定
► 全域观测:全视频全景成像,支持粘附力测量
(特别适配油田三次采油体系,表面活性剂评价效率提升80%)
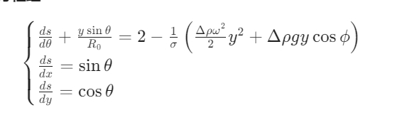
基于温度与压力双耦合以及物理模型有量纲分析的旋转滴界面张力测试
🔬 核心优势:
√「温、压双耦合控制系统」突破行业痛点
√ 双重精准控温:±0.05℃精准温控,消除温度漂移
√ 主动压力控制:0.001MPa超微压力调节,攻克液柱热胀冷缩难题
(可实现温压参数全维度闭环控制,数据可靠性提升300%)
🚀 创新突破:
- 采用ADSA®-RealDrop®智能算法:基于第一性原理有量纲计算
- 通过离心场量纲重构技术,支持全邦德系数范围测算
- 基于顶部弧面S拟合法,测值稳定性提升35%
(突破基于经验驱动的有限范围邦德系数Young-Laplace方程拟合法以及1940年代Vennegut查表估算法局限,误差率降低至5%)
💡 功能升级:
► TFOVT M全景视野与显微视野动态追踪系统
► 粘附力测试功能:贴合油田化学驱替
智能锁滴:连续旋转运动蜗轮蜗杆联动技术实现毫秒级液滴定位与锁定
► 全域观测:全视频全景成像,支持粘附力测量
(特别适配油田三次采油体系,表面活性剂评价效率提升80%)
测试原理:旋转滴法Spinning Drop
方法名称:阿莎®(ADSA-RealDrop®)的Young-Laplace方程拟合法
控制方程组:

核心参数:
方法特点:
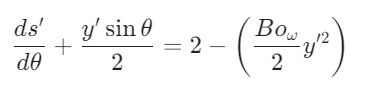
提出时间:1940年代
原理:基于液滴最大宽度()的静态估算:
优势:单点测量即可完成计算
基于阿莎®(ADSA-RealDrop®)技术的Young-Laplace方程拟合技术Young-Laplace方程高精度拟合方法,通过直接求解离心力场作用下的有量纲Young-Laplace方程,建立液滴形态与界面张力的定量关系。与传统方法相比,本技术具有以下创新性突破:
1、曲率参数优化
采用液滴顶部曲率作为核心拟合参数,取代传统最大宽度测量法(Vonnegut法),显著降低转速与液滴体积变化对测量结果的敏感性,实现界面张力的鲁棒性计算(误差范围 < ±0.1 mN/m)。
2、全域邦德系数(Bond Number) 适用性
通过保留方程量纲的严格数学推导,克服了传统无量纲化测试技术(如简化Young-Laplace方程拟合法)因邦德系数(Bo)适用范围受限导致的理论缺陷,将有效测量范围扩展至Bo ∈ [10⁻³, 10³],覆盖低离心场至超重力场全工况。
3、历史方法超越性
(1)相较1940年代提出的Vonnegut最大宽度法及其衍生的BA查表法(受限于Bo < 1的窄范围经验修正),本技术通过实时数值求解与自适应边界条件,实现理论框架与计算精度的双重突破,在航空航天微重力液滴动力学、高转速工业离心分离等领域取得实测数据与理论预测的吻合(R² > 0.998)。
(2)无量纲Young-Laplace方程拟合法的经验局限性:核心缺陷:
1. 油气开采与提高原油采收率(EOR)
· 超低界面张力测量
精准测定微乳液在高温(达200°C)及高压(20MPa)油藏环境下的界面张力,优化表面活性剂配方,提升驱油效率。通过ADSA-RealDrop®技术的Young-Laplace方程拟合算法直接解析高温高压下CO₂-原油-微乳液三相体系的动态界面行为。
· 热稳定性与耐盐性研究
模拟页岩油藏极端条件(200°C/20MPa),筛选耐高温、耐高压、抗盐表面活性剂,验证微乳液长期热稳定性,降低驱油剂失效风险。
· 压裂液返排液界面行为
分析高温高压下压裂液与地层流体的界面吸附动力学,指导返排液乳化控制与资源化处理,减少环境污染。
2. 表面活性剂与胶体科学
· 动态吸附行为分析
通过正弦振荡转速实验,研究表面活性剂从体相到界面的吸附速率及动态平衡过程,量化吸附能垒与扩散系数。
· 界面流变特性表征
测量界面扩张弹性、粘弹性及塑性模量,评估表面活性剂对界面力学性能的调控作用,指导乳化剂/稳泡剂分子设计。
· 微乳液自发形成优化
结合宽温域控制(-30°C至200°C),探索水-油-表面活性剂三元体系相图,确定纳米乳液自发形成的临界配比。
3. 制药与生物医学
· 药物载体性能研究
分析脂质体、微胶囊等膜包覆液滴的形变特性与膜弹性参数,结合200°C高温测试评估载体的热机械稳定性,优化缓释制剂工艺。
· 生物利用度提升
通过两相界面吸附动力学研究,设计高效药物递送系统,改善疏水性药物的溶解与吸收,解析磷脂-纳米颗粒界面作用力(分辨率达10⁻⁷ mN/m)。
· 细胞仿生界面模拟
利用超低界面张力测量技术,模拟细胞膜与靶向分子的相互作用,指导精准给药载体开发。
4. 乳液技术与食品工业
· 乳液稳定性评估
测定油水界面张力及流变行为,结合1000帧/秒高速摄像捕捉液滴聚并过程,指导乳化剂选择与配方设计,延长货架期。
· 极端条件模拟
在-30°C冷冻或180°C高温灭菌条件下,研究乳液微观结构变化,优化食品加工与保存工艺。
5. 材料科学与封装技术
· 膜材料力学性能测试
量化膜包覆液滴在离心力作用下的形变与应力响应,通过TFOV全景-显微双模视野同步分析宏观形变与局部缺陷(精度达μm级),评估封装材料的抗压强度与弹性模量。
· 微胶囊负载能力优化
基于离心应力计算与高温(200°C)实验,设计可承受机械冲击与热载荷的微胶囊结构,用于相变材料、药物缓释等封装应用。
6. 极端环境界面研究
· 地热能与深海资源开发
o 干热岩地热界面优化:模拟>180°C地热卤水-岩石界面张力变化,筛选纳米流体增效剂,提升地热开采效率。
o 天然气水合物抑制:在高压低温(-30°C/20MPa)条件下研究抑制剂对水-气界面膜稳定性的影响,防止深海管道堵塞。
· 高温合成与绿色化学
o 离子液体/超临界流体传质调控:量化高温反应中催化剂载体与介质的界面传质阻力,指导微界面反应器设计。
o 生物质液化产物分离:测定150-200°C热解条件下生物油-水界面张力,开发高效破乳工艺,降低能耗。
7. 新兴交叉领域
· 太空与微重力应用
通过微重力模拟实验(结合高速摄像与自适应算法),研究无重力条件下液滴动力学行为,支撑空间站流体管理技术。
· 能源材料界面工程
解析燃料电池质子交换膜在200°C下的界面缺陷演化,优化耐高温粘合层材料,延长电池寿命至1.5万小时。
技术升级亮点
· 温压控制:200°C/20MPa全主动控压,消除热膨胀干扰,数据真实性提升30%。
· 算法升级:ADSA-RealDrop有量纲拟合,复杂体系计算误差<0.5%。
· 分辨率突破:界面张力灵敏度达10⁻⁷ mN/m,支持瞬态超低张力捕捉。
· 多尺度观测:TFOVTM全景视野与μm级局部分析自由切换,实现液滴群统计与单液滴力学联用。
|
|
本产品通过创新性提供的温、压协同控制、第一性原理的阿莎®ADSA-RealDrop®物理建模算法及多尺度智能成像三大核心技术,重新定义超低界面张力测量边界,为能源勘探、化工合成及纳米材料领域提供高精度、高可靠性的贴合实际应用条件界面分析解决方案。
1、更先进的温、压协同控制技术:解决目前无控制压力的普通旋转滴测量仪因温度升高导致的样品管内压力变化对界面张力的干扰的痛点
n 超高温高压模拟能力:温度范围扩展至200°C,压力达20MPa
温度范围:-30°C ~ 200°C(常规)/(样品管耐温800°C,耐压25MPa),覆盖深层油气藏(页岩油、干热岩)、超临界流体及催化裂解等极端环境。
n 压力控制:范围0~20 MPa,精度±0.001 MPa,支持动态压力补偿算法,消除温升导致的压力波动干扰,确保数据真实性。
n 耐压设计:样品管耐压≥25 MPa,采用强化密封与耐高温合金材料,保障长期高温高压下的稳定运行。
n 双温控模式气热式温控技术:液晶触摸屏控制,显示分辨率:0.01°C,温度显示范围:-30-250°C。人工智能自适应PID控制,控制精度:0.05°C。
2、基于第一性原理的阿莎®(ADSA-RealDrop®)的Young-Laplace方程拟合技术的高精度算法
n 有量纲Young-Laplace方程拟合
基于实际物理参数(密度差、离心加速度、顶点曲率半径等)直接求解液滴轮廓,避免传统无量纲化近似误差,适用于非对称双液相、非牛顿流体、含纳米颗粒/气泡界面等复杂体系。
n 超低界面张力瞬态检测
分辨率达10⁻⁷ mN/m,结合3000 fps高帧率相机与自适应降噪算法,精准捕捉微乳液相变、纳米气泡破裂等瞬态过程。
3、粘附力测量技术:源于智能液滴锁定倾角控制技术的更科学的表征工具
n 粘附力测量与三相体系模拟
- 岩芯-原油-表面活性剂多相分析:基于浮力平衡与样品管倾角动态调节,精确计算三相(岩芯/原油/表面活性剂(二元或三元体系))的三相界面张力与接触角,直接模拟油藏孔隙内流体滞留行为。
- 驱替效率量化:结合离心力与倾角参数,量化表面活性剂对原油的剥离能力及岩芯表面润湿性改变效果,为EOR(提高采收率)药剂筛选与注入方案优化提供关键数据。
n 油藏条件高保真复现
- 支持高温(200℃)、高压(20MPa)与地层水离子强度环境下的界面特性测试,适配页岩油、稠油及高盐油藏的真实工况。
- 内置岩芯润湿性修正算法,自动补偿多孔介质表面对界面张力测量的干扰,提升数据与实际驱油效果的相关性。
4、TFOVTM全景-显微双模视野
n 多尺度观测融合
TFOVTM全景视野技术:智能图像识别技术实现全毛细管液滴群动态监测(如乳液分布统计)
显微模式:电动变焦镜头支持微米级局部形变分析(如膜包覆液滴褶皱、界面纳米结构)。
n 数据关联分析
同步关联全景统计与局部力学参数,为界面演化机制(如吸附动力学、破裂阈值)提供多维度证据链。
n 粘附力测量与液滴自动跟踪锁定
结合GapFree-RotixTM消间隙精密光学旋转平台控制,采用360°齿轮设计而非有限角度摆动,可自由旋转,倾角可达±25°(可升级制±90°),控制精度:0.001°。可提供手自一体式控制供选。手自一体式控制时,采用双减速模式。
5、智能控制与稳定性
n 精密转速与倾角控制
- 离心机控制:转速范围0~10000RPM,或15000RPM、20000 rpm(视不同选型而不同,15000和20000RPM采用伺服电机,无级变速),精度±1‰ rpm;
- 腔体倾角控制:±25°电动调节,适配复杂实验场景。可选手动一体控制系统,精度0.001°
n 液滴跟踪与成像系统精密机械控制系统
- 提供XYZ三维以及二维水平调整功能,可以修正镜头与液滴倾斜角偏差导致的界面张力计算误差;
- 机械控制采用0.01mm精度微分头控制
n 人工智能自调整PID双温控系统以及温压协同
实时监控温度(精度±0.01℃),压力波动补偿算法确保高温高压下测量一致性。
6、耐用性与安全性
n 工业级耐用设计
样品管连续运行80小时无泄漏压(5000 rpm),震动<0.05 mm/s,耐腐蚀材质适配酸性/高盐环境。
n 人机交互优化
封闭式防爆外壳、凹陷式摄像头保护、一键式编程测量,兼顾安全性与操作效率。
7、软件生态与扩展性
n 全流程自动化
支持多参数组合编程测量(温压-转速-时间-振荡(界面流变)),数据实时同步LIMS系统(Laboratory Information Management System,实验室信息管理系统),自动生成对比图表与合规报告。
n 前沿应用适配
页岩油渗吸-驱替模拟、超临界CO₂-原油界面行为、高温燃料电池电解质界面研究等。
|
高温、高压旋转滴界面张力仪技术参数 |
注:如下技术参数根据选购配置不同而有增减,具体以实际报价单为准。
|
整体指标 |
|||||
|
接触角测量范围: |
0-180° |
选购带接触角功能款 |
|||
|
接触角分辨率: |
0.001° |
||||
|
接触角测值精度: |
±0.5°(圆拟合 法)/0.1°(阿莎®) |
||||
|
界面张力测量范围: |
10-7-2000mN/m |
可测试长宽比小于2的液滴 |
|||
|
界面张力测量分辨率: |
10-7mN/m |
|
|||
|
体积及表面积计算 |
基于阿莎®的Young-Laplace微分方程计算 分析表面积不同时表面活性剂的吸附行为 体积计算范围:0.01-300uL,相对不确定度±0.1%,精度≤0.001 μL (内外相体积比范围:0.05% ~ 25%,相对不确定度±0.05%) 表面积计算范围:0.01-400mm2显示精度≤0.01mm2 |
|
|||
|
仪器尺寸及重量: |
260Wx720Lx550Hmm 25kg |
视不同配置而不同 |
|||
|
电源: |
AC100—240V 50-60Hz 600W |
视不同温度选配而不同 |
|||
|
|
|||||
|
型号 |
单温控非气热式温控 |
双温控气热式温控 |
|||
|
|
TX500C
|
TX500C+
|
|||
|
硬件指标:样品台及其控制系统 |
|||||
|
成像系统控制: |
X轴控制,一维移动行程60mm,电机控制智能跟踪,手动一体式 |
样品台XY 120mm, 1mm螺距丝杆控制,X电机控制,实现液滴智能自动跟踪,精度:0.01mm;Y手动控制,调整焦距 |
|||
|
无 |
样品台Z向移动12mm行程范围,微分头控制,精度:0.01mm |
||||
|
镜头手动调焦与水平调整 |
镜头二维水平调整,微分头控制0.01mm精度 |
||||
|
腔体整体倾斜角调整: |
→ GapFree-RotixTM消间隙处理技术的360度全蜗轮蜗杆精密光学旋转平台 → 倾斜角度±25°,电动控制,减速电机提升控制精度。 → 可选手动一体,控制精度≤0.001°。可升级±90°旋转机构用于评估粘附力 |
||||
|
粘附力分析功能:角度精度0.001° |
|||||
|
智能液滴跟踪与锁定功能 |
|||||
|
腔体减振动系统 |
PTFE简易减振系统 |
专业减振系统,可选磁悬浮减振平台 |
|||
|
样品台大小 |
无 |
120*120mm,带定位设计和夹持板,台面可拆卸
|
|||
|
最大测试样品 |
无 |
390*∞×∞ |
|
||
|
3D接触角模块 |
无 |
样品台水平向360度旋转功能,微分头控制,手动控制 (注:(1)专利号:201520285650.5;(2)可选滞留力模块,自动水平向360°旋转) |
|||
|
仪器水平控制: |
四脚水平调整脚,可选磁悬浮调整脚。 |
||||
|
滚动角测量模块 |
无 |
蜗轮蜗杆精密光学旋转平台控制,电动控制,可断电手动控制 |
|||
|
硬件指标:高速电机、温压控制系统及样品管 |
|
|
高速电机: |
TX500C及TX500C+:直流电机,0-10,000RPM(连续可调); |
|
TX500K:可选15000RPM、20000RPM伺服电机,转速分辨率:0.1RPM,转速控制:±RPM,响应加减速度10000/s,满足高速界面流变测量。 |
|
|
声功率级(6000 rpm):<55 dB(A) |
|
|
温度控制: |
控温范围:室温-220℃(本体电加热) / -30 ~ 200℃(外接温控扩展),可选帕尔贴控温 |
|
温度稳定性:±0.1℃(100-220℃)或0.05℃(-100℃) |
|
|
显示分辨率:0.01℃ |
|
|
传感器类型:PT100或高精度半导体温度传感器 |
|
|
主动控制压力系统: |
压力范围:0-20MPa |
|
压力分辨率:0.001MPa |
|
|
压力系统可选:手动增压泵或自动恒压泵 |
|
|
压力系统需客户订货,非入门款标配 |
|
|
样品管性能: |
耐压强度:25 MPa(极限) |
|
耐温上限:500℃(常规) /1000℃(短期耐受) |
|
|
密封泄漏速率:6000 rpm):连续运行60小时无泄漏 |
|
|
轴向振动(6000 rpm):±0.002° (采用专业倾角传感器测试的结果) (注:1.等效<0.03 mm·s⁻¹, 2.TX500C+及TX500K具有专业减振系统) |
|
|
镜头控制: |
一维或二维俯仰控制可选,微分头控制,带刻度,角度范围大于5° (注:角度范围根据选购不同调整平台而不同) |
|
硬件指标:成像系统及其控制 |
|
|
镜头: |
→ TFOVTM全景工业连续放大镜:0.4-8X光学放大(20倍变倍范围)。TV畸变曲率《0.035%;视野范围2*2-60*60mm;具备倍率锁定功能和镜头调焦和锁定功能,以避免测量过程的误碰影响 (注:视野范围因选购相机及镜头不同有而不同) → 可选0.7-4.5X、0.7-5.6X、0.58-7.5X等倍率范围镜头; |
|
摄像机系统: |
工业级标准500万像素(2590*1940)或300万像素(2048*1536)黑白高速相机,相机速度范围5200FPS,具有红外过滤截止功能。可选230万像素1200帧/秒(600*400)高速相机以及万帧以上高速相机。 |
|
相机通讯: |
USB3.0通讯接口,噪声不高于7e-,动态范围高于30000e-;数据获取速度:5G 字节/秒; |
|
背景光: |
→ 超强亮度可调亮度LED蓝色冷光源(470或480波长可定制)、 50个左右高亮度LED灯,石英玻璃遮光片技术,光源直径大于50mm,数码控制,软件可调图像亮度。 → 提供亲水材料测试用遮光板技术,可对光路进行遮光处理消除液滴边缘漫反射导致的图像不清晰。 → 可选四色平行光源。 |
|
镜头控制: |
一维或二维俯仰控制可选,微分头控制,带刻度,角度范围大于5° (注:角度范围根据选购不同调整平台而不同) |
|
硬件指标:进液系统及其控制(选购接触角模块,仅限TX500C+/TX500K) |
|
|
进液系统: |
→ 自动控制单注射泵系统;单注射泵,行程60mm,1mm螺距。 → 软件控制进液方式和液滴体积,可振荡滴或设定滴液程序,软件自动计算阿莎算法时的液滴体积,精度:0.001uL。 → 滴液可采用移液器针头或普通针头方式。移液器时针头可存液滴,体积不小于200微升。 → 进液速度可调:范围:0.225uL/min(5uL)-3000uL/min(5000uL)。 → 可自动进液,也可断电后通过手动控制物理旋钮控制进液 (注:(1)根据不同的进液器规格而不同;(2)通常使用1000uL和100uL的进液速度;(3)若需要快速滴液时,建议选购喷射针头)。 |
|
进液系统: |
双进液系统,可采用悬滴表面张力法判断样品表面的有机物污染,喷射针头及普通移液器进液系统,可组合双普通进液器进液系统。喷射针头进液系统可测试悬滴法表面张力值用于判断进液系统干净程度。普通移液器进液系统针头提供一次性移液枪针头2包(2000个) |
|
Z移动120mm,可精确对多卡位位置高度进行定位调节(可选12.5mm、25mm、60mm、100mm或更大行程)、自动控制,精度0.01mm,1mm螺距,实现移液控制,可预设位置,液滴回弹及Z轴振荡功能。 |
|
|
进样系统翻转功能: |
可通过微齿轮手柄进行水平或垂直方向定位,整体可超90°翻转,便于放置较大样品或对针头进行清洁处理。 |
|
镜头焦距调整: |
120mm行程,1mm螺距丝杆驱动,0.1mm精度 |
|
力学法表面张力模块:表面活性剂动态表面张力及三明治效应 样品管清洁度测试 |
|
|
测试原理 |
→ 基于阿莎®算法的铂金板法测试原理(Wilhelmy Plate) → 基于铂金环法测试原理(DuNouy Ring) (注:铂金环和铂金板是选购件,根据不同需求配置) |
|
传感器测量范围: |
《100g |
|
表面张力测量范围: |
0-10,000mN/m |
|
表面张力测量分辨率: |
0.001mN/m |
|
动态表面张力速度: |
1ms |
|
平衡表面测量: |
可以 |
|
软件系统:基于阿莎®(ADSA-RealDrop®)技术的Young-Laplace方程拟合 |
|
|
界面张力测量算法: |
阿莎®(ADSA-RealDrop®)技术的有量纲Young-Laplace方程求解 |
|
可选广义Young-Laplace方程拟合法,修正非牛顿体流的粘度对界面张力测值的影响 |
|
|
Vonnegut法/Bashforth–Adams表法 |
|
|
界面流变分析功能: |
振荡滴法用于振荡实验,支持松弛分析、弹性模量计算及粘塑性参数提取。 界面流变粘、弹性模量测量范围:10-7-100mN/m,分辨率:10-7mN/m |
|
智能液滴分析模块: |
智能化液滴追踪系统与锁定技术
|
|
高精度边缘检测引擎
|
|
|
自适应Young-Laplace拟合器
|
|
|
自学习环境补偿机制
|
|
|
智能粘附力分析系统: |
多相动态粘附力分析模块 1. 三相体系模拟技术
2. 驱替效能量化引擎
|
|
油藏环境高保真复现模块 1. 极端工况模拟单元
2. 多孔介质干扰抑制技术
|
|
|
编程控制功能: |
基于多模态特征动态追踪智能算法实现液滴形态的毫秒级锁定,同步解算界面张力γ值并通过交互式可视化面板进行实时图谱渲染,支持实验全周期而非少量数据点的非易失性存储架构与全链路元数据锚定,确保γ-θ-P-T数据集的时空回溯能力。 |
|
支持温度-转速-压力-时间序列的任意组合编程 |
|
|
支持智能液滴锁定与跟踪功能(软件控制腔体倾斜角度与X移动范围,TX500K可软件控制调整焦距) |
|
|
数据库及报告功能 |
数据完整性保障系统
|
|
|
全生命周期数据仓储系统
|
|
接触角分析软件指标:提供中英文对照版本 |
|
|
功能: |
全自动阿莎®算法(ADSA-RealDrop)法前进后退角(倾斜法或增加减少液滴体积法)、表面张力及界面张力分析,可测试随时间连续测量接触角值或表面张力值 |
|
测试液滴状态: |
7种,悬滴法(Pendant Drop)、停滴法(Sessile Drop)(2/3态)、微滴法(MicroDrop)、气泡虏获法、纤维包裹接触角、半月板法等 |
|
接触角测试方法: |
→ 9种: 阿莎®算法(ADSA-RealDrop)技术的Young-Laplace方程拟合法、半月板法、MicroDrop®技术的测试单纤维或薄片、θ/2 法、圆拟合法、椭圆拟合法、基于真实液滴®(TrueDrop®)技术的几何模型非轴对称液滴测量法、曲线尺法(切线法、多项式法)、Spline插值曲线拟合法等 → 支持全自动测值,且提供手动二次修改测值结果功能 → 支持手动拟合阿莎®算法和Young-Laplace曲线,可以用于教学演示 |
|
拟合曲线处理技术: |
所有液滴轮廓的测试拟合线及数据均自动嵌入到图片中并保存到数据中,可二次修改并导出图片及视频 |
|
本征接触角计算: |
左右接触角值分别计算与比较功能,软件自动求取平均接触角,实时计算本征接触角功能(IECA) |
|
接触角数据取得方式: |
全自动测值和人工修整相结合。按测试,软件自动拍照-查找敏感点-计算接触角值-显示计算结果,整个过程无须人工干预,以降低人为因素影响 |
|
接触角量测技术: |
数学模型拟合与真实液滴外廓实际量测相结合,解决非对称图像测值问题 |
|
数据库管理功能: |
可回放保存的所有图像(大于2000张以上)、导出EXCEL或CSV表格,测值以及曲线拟合结果均可保存到导出的图片上,直观明了。 |
|
曲线尺功能: |
曲线拟合:1-8次多项式曲线、圆曲线等20种曲线拟合 |
|
全自动3D接触角分析功能: |
实时本征接触角分析功能,可基于三维空间倾斜角度修正的测度本征接触角的测试方法,包括联立接触角计算方程组、倾斜角度的获取、倾斜角度的修正和本征接触角的计算,其特征在于:在进行接触角计算时,对样品表面的倾斜角度进行修正,采用修正重力系数后,得到液滴的本征接触角值。 (注:专利号:201910505556.9) |
|
表面结构条件接触角分析 |
→ 软件具有表面粗糙度修正因子,可基于Wenzel或Cassie-Baxter模型修正接触角值;粗糙度仪或原子力显微镜等其他方法所测量的粗糙度数据可输入软件后直接进行修正 → 3D接触角分析功能,提供TFOV顶视棱镜条件下的3D接触角分析功能,分析液滴的轴对称性以及分布百分比 |
|
动/静态接触角测试: |
→ 可测试倾斜样品表面或增加减少液滴法或微动法测试前进/后退角,测试算法除了多项式或双圆曲线外,还提供基于3D接触角的阿莎®技术的Young-Laplace方程拟合法 → 可测试倾斜角和滚动角值,自动计算本征接触角 |
|
辅助功能: |
水平线、垂直线、纤维轮廓线引导功能,AOI引导线功能 软件具备水平及垂直校准和清晰度辅助功能 |
|
图像处理功能: |
提供3种自动图像阈值处理功能和手动图像边缘分析阈值功能,可进行图像处理技术(亮度对比度、图像反转、抠图、魔术棒、橡皮擦功能)、图像预处理功能,具备强大的背景抗干扰能力,能在背景昏暗和视野内多液滴情况下准确识别液滴,计算接触角 |
|
基准线功能: |
→ 自动查找水平基线功能,可自动或手动基线,曲面基线可保存在拟合图片中 → 曲面修正:上凸曲面、下凹曲面 |
|
液滴触发功能: |
→ 双软件触发技术,可用于测试粉体、纸张以及其他吸水性材料的分析时的第一时间点接触角取得,也可用于小接触角测值全过程拍摄。 → 智能图像过滤功能 |
|
高速图像处理技术: |
高速摄像处理软件:内存缓存技术,提高传输速度 |
|
拍摄图像方法: |
单张或20-3000帧/秒连续拍摄 |
|
视频录像功能: |
可录制AVI格式影视图像,可导出单张图片以及带拟合曲线的视频,可用于PPT文件制作 |
|
表面自由能功能: |
12种表面自由能估算模型,分析固体材料表面自由能以及分量 (色散力、极性力、氢键力 、 Lewis酸碱力等),包括: Equation of State ( Neumann et al. )、Good-Girifalco、WORK、Simple Fowkes、Extended Fowkes、WU法1-2、Schultz法1-2、Acid-base(OSS&Good)、SLL、Zizman临界表面张力法等、 |
|
固体材料可润湿性分析(WBATM) |
可润湿性分析功能(WBA®分析、Wetting Envelopes)、本征接触角分析功能 |
|
液体库: |
700种以上常用液体表面张力资料,可支持自行上传数据库,可手动删减液体库 |
|
液体表面张力色散力及极性力分量 |
2种分析模型:WORK、WU |
|
界面张力测量: |
阿莎®算法,第四代Young-Laplace拟合 可测试所有邦德系数范围的表面张力及界面张力值 |
|
界面流变及粘弹系数: |
可实现振荡滴,分析表面积、体积与界面张力相位角变化,分析得到粘弹系统 |
|
粘附力测量功能: |
可连接到微量传感器,测试液体与固体材料之间粘附力与升降高度的变化;可实现升降高度振荡操控。 |
|
其他自动功能 |
自动测试随时间变化液滴量(体积和表面积)、粘附功、一液法表面自由能分析功能,可用于测试薄膜表面张力值,可替代达因笔的测试功能 |
电话:400 005 5117, 0086-21-51872175
邮箱:sales@kinochina.com
网址:http://www.kino17.com
地址:上海市闵行区申富路128号D1厂房3楼